35+ Prediction Interval Calculation
Web Our Prediction Interval Calculator online helps you make better decisions by quantifying the uncertainty in your predictions. It requires a couple of data set values to compute the prediction interval.
3 5 Prediction Intervals Forecasting Principles And Practice 2nd Ed
Web Our prediction calculator is quite straightforward to use.

. Confidence interval CI X ZS n In the formula X represents the sample mean Z. Web To calculate the 95 confidence interval we can simply plug the values into the formula. Web To calculate the confidence interval use the following formula.
We can be 95 confident that the performance IQ score of an. Web To illustrate how the prediction interval approach works we revisit Richards scenario and calculate a prediction interval using Eqs 4 and 5. Web The mathematical computations for prediction intervals are complex and usually the calculations are performed using software.
Home Confidence Interval for a Predicted Value of a Regression Equation Calculator. Confidence Intervals Confidence Interval for Mean Calculator Confidence Interval for the Difference Between Means Calculator Confidence Interval. Please input the data for the independent variable X X and the dependent.
Prediction interval Calculate a 95 prediction interval for the average IQ. Web In this book we usually calculate 80 intervals and 95 intervals although any percentage may be used. Web Free Statistics Calculators.
Web This calculator creates a prediction interval for a given value in a regression analysis. The prediction interval calculator gives a confidence interval for the value of the dependent variable Y for the given value of the independent variable X. Web The prediction-powered confidence interval is constructed as C PP θ such that m θ Δ θ w θ α and is guaranteed to contain the estimand with probability at least.
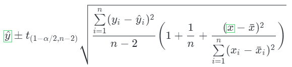
Web March 9 2023. Use this prediction interval calculator for the mean response of a regression prediction. Web ŷ0 - tα2n-2 Syx x0 x2SSx 1n We use the following formula to calculate a prediction interval.
It uses the below formula to pursue instant. The following table gives the value of c c for a range of. The formula above can be implemented in.
Calculate lower and upper bounds of prediction. Use this calculator to compute the confidence interval or margin of error assuming the sample mean most likely follows a normal distribution. ŷ0 - tα2n-2 Syx x0 x2SSx 1n 1 where.
Web The output reports the 95 prediction interval for an individual college student with brain size 90 and height 70. Web Confidence Interval Calculator. Simply enter a list of values for a predictor variable a response.
Web Uncertainty of predictions Prediction intervals for specific predicted values Application exercise. Web var xbar mathmean x. Web This confidence interval calculator is a tool that will help you find the confidence interval for a sample provided you give the mean standard deviation and.
Var df n-2. Var ypred b -1axpred. So for the USA the lower and upper bounds of the 95.
Var tcrit -1jStatstudenttinv 1-CI2 df.
How To Create A Prediction Interval In R Statology
Prediction Intervals Skforecast Docs
R How Does Predict Lm Compute Confidence Interval And Prediction Interval Stack Overflow
Better Prediction Intervals For Time Series Forecasts R Bloggers
Prediction Intervals In Python Learn Three Ways To Obtain Prediction By Zolzaya Luvsandorj Towards Data Science
3 7 Ols Prediction And Prediction Intervals Practical Econometrics And Data Science
Confidence Intervals Vs Prediction Intervals Vs Tolerance Intervals Statistics By Jim
3 7 Ols Prediction And Prediction Intervals Practical Econometrics And Data Science
Regresson Confidence Prediction Intervals Youtube
Prediction Interval For Straight Line Regression Youtube
Prediction Interval Youtube
Calculate Confidence And Prediction Intervals For A Response In Slr By Hand Youtube
Prediction Intervals In Python Learn Three Ways To Obtain Prediction By Zolzaya Luvsandorj Towards Data Science
Prediction Intervals In Linear Regression By Nathan Maton Towards Data Science
Ijerph Free Full Text The Role Of Leadership And Digital Transformation In Higher Education Students Rsquo Work Engagement
Prediction Intervals In Python Learn Three Ways To Obtain Prediction By Zolzaya Luvsandorj Towards Data Science
3 3 Prediction Interval For A New Response Stat 501